Sustaining improvement in diabetes-related ketoacidosis management through a Quality Improvement Project

LAKSHMI RENGARAJAN,1 KATRINA NASH,2 EMMA OOI,3 CATHERINE COOPER,4 AMY BIRCHENOUGH,5 MEGAN OWEN,4 SANJAY SARAF,1 MUHAMMA ALI KARAMAT,1 PARIJAT DE,5 SENTHIL KRISHNASAMY,4 PARTH NARENDRAN,1,6 PUNITH KEMPEGOWDA,1,7 ON BEHALF OF THE DEKODE GROUP

1 University Hospitals Birmingham NHS Foundation Trust, Birmingham, UK
2 College of Medical and Dental Sciences, University of Birmingham, UK
3 RCSI & UCD Malaysia Campus, Penang, Malaysia
4 Walsall Hospital, Walsall, UK
5 Sandwell and West Birmingham Hospitals NHS Trust, Birmingham, UK
6 Institute of Immunology and Immunotherapy, University of Birmingham, Birmingham, UK
Institute of Metabolism and Systems Research, University of Birmingham, UK

Address for correspondence: Punith Kempegowda
Academic Clinical Lecturer, Institute of Metabolism and Systems Research (IMSR), College of Medical and Dental Sciences, University of Birmingham, Birmingham B15 2TT, UK
E-mail: p.kempegowda@bham.ac.uk

Br J Diabetes 2022;22:132-138

https://doi.org/10.15277/bjd.2022.398

Key words: diabetic ketoacidosis, DKA, regular feedback, quality improvement

Introduction

Diabetes-related ketoacidosis (DKA) is a life-threatening complication of diabetes which requires rapid assessment and treatment.1 Although mortality has decreased over the years, DKA still causes considerable morbidity and mortality amongst adults, adolescents and children.2 Existing quality improvement projects (QIP) have demonstrated that use of evidence-based protocols and order sets is able to improve outcomes associated with DKA management.3,4 However, we did not find any studies demonstrating sustainable improvements over a long period. People presenting with DKA represent a considerable financial and resource burden.5 Reducing the duration of DKA would therefore substantially reduce the disease and resource burden associated with diabetes.

Aim

To improve the implementation of and adherence to the JBDS guidelines for DKA management using a QIP and thereby to reduce the total duration of DKA in a sustainable manner.

Methods

This QIP was undertaken at Queen Elizabeth Hospital Birmingham (QEHB), a large tertiary care centre in the UK. It commenced in April 2014 and is still ongoing. All people diagnosed with DKA from April 2014 to December 2020 were included in this report. DKA was defined as blood glucose >11 mmol/L, pH ≤7.3 or bicarbonate ≤15 mmol/L and ketonaemia ≥3 mmol/L.6 Euglycaemic ketoacidosis was defined as those cases meeting all except the glucose criteria for DKA with a diagnosis of diabetes. Subgroup analysis by type of diabetes (type 1 [T1DM] or type 2 [T2DM]) was also undertaken; classification was based on the clinical diagnosis documented in patient records. This study is divided into three phases:

Phase 1: April 2014-Sep 2016
We adopted the plan-do-study-act (PDSA) methodology. This first phase was divided up into three distinct time periods:

April 2014 – September 2014: pre-intervention
In the pre-intervention phase, we audited DKA management in our hospital to identify five primary drivers (fluid replacement, fixed rate intravenous insulin infusion [FRIII], glucose measurement, ketone measurement and specialist referral) that influence outcome. We identified reduction in DKA duration by 50% as the primary outcome.

October 2014 – March 2015: intervention
Five secondary drivers (developing a real time audit tool, automatic referral to a specialist team, electronic surveillance of blood gas results, education and redesigning of local [trust] guidelines, and monthly feedback) influencing the DKA duration were introduced as interventions to improve the primary drivers. Figure 1 explains the interplay between primary and secondary drivers. In addition, feedback from junior doctors suggested that the current hospital guideline for management of DKA was difficult to follow and had ‘too many words’. (The trust had a 20-page guideline document.) This was changed to a single page graphical representation to facilitate easy access and reduce the time spent in scanning the protocol. Digital versions were accessible from the trust’s intranet page and printed versions of the revised flowchart were displayed in emergency departments and acute medical units where most DKA patients are managed. Figure 2 depicts the revamped single page DKA protocol based on end-user feedback.

April 2015 – September 2016: follow-up period
During this period, we assessed the improvements in primary drivers in comparison to the pre-intervention period. This work was published in 2017.7 We had shown that auditing DKA management against five simple criteria and feeding the results back to frontline staff reduces DKA duration.

917-Kempegowda-Figure1

917-Kempegowda-Figure2

Phase 2: Oct 2016-March 2018
We studied the effect of not having feedback on DKA management to the frontline teams, and demonstrated that the absence of regular performance feedback (secondary drivers) was associated with a greater degree of deviation from treatment guidelines and longer DKA duration. The detailed description of this period is now published.8

Phase 3: April 2018-September 2020
The time spent collecting and analysing data resulted in a delay between initiating an audit and disseminating the results: this means that the feedback provided may then be out of date and not applicable to current practice. To overcome this problem, the department of diabetes at QEHB collaborated with the QEHB health informatics team to design an automated system for auditing called ‘Digital Evaluation of Ketosis and other Diabetes Emergencies’ (DEKODE). DEKODE identifies cases of DKA by detecting FRIII prescriptions on electronic medical records and extracts relevant data from the clinical databases patient informatics consult service (PICS) and picture archiving and communication system (PACS), including information regarding potassium, ketone, pH and blood glucose monitoring and the prescription of FRIII and intravenous fluids (figure 3). To validate the data, all the data obtained from DEKODE were compared to manually collected data. Discrepancies between the manual and automated data collected for FRIII adherence, hourly glucose and ketone measurements were analysed. We also assessed whether there was a difference in management of DKA between people with T1DM and T2DM.

917-Kempegowda-Figure3

Measures

Data were collected regarding patient demographics, classification of diabetes, precipitating causes of DKA and measurements of biochemical and treatment parameters during the inpatient stay. Guideline adherence for glucose monitoring, ketone monitoring, fluid prescription and fixed rate intravenous insulin infusion prescription (FRIII) were defined as follows:

FRIII
The initial rate of intravenous insulin infusion and the patient’s weight from the index admission, either estimated or manually recorded, were recorded. Guideline adherence for FRIII was calculated based on the formula: (FRIII rate of infusion/ (Weight/10))x100.

Fluids
The recommendation for fluid prescription during DKA is as follows: 500ml bolus till systolic BP>90mmHg, then 1000ml over 1 hour, 1000ml over 2 hours with potassium replacement (repeated twice), 1000ml over 4 hours with potassium replacement (repeated twice), 1000ml over 6 hours with potassium replacement until DKA resolves.6 Additional potassium is titrated according to the patient’s blood levels during replacement. The total volume of fluids prescribed for the patient during the duration of their DKA episode was noted. Guideline adherence for fluids was determined by the following formulae:

For DKA duration up to 1hour:

(Total volume of fluid in ml/1000ml) x100

For total DKA duration between 1 to 3 hours:

(Total volume of fluid in ml/2000ml) x100

For total DKA duration between 3 to 5 hours:

(Total volume of fluid in ml/3000ml) x100

For total DKA duration between 5 to 9 hours:

(Total volume of fluid in ml/4000ml) x100

For total DKA duration between 9 to 13 hours:

(Total volume of fluid in ml/5000ml) x100

For total DKA duration between 13 to 19 hours:

(Total volume of fluid in ml/6000ml) x100

For total DKA duration between 19 to 25 hours:

(Total volume of fluid in ml/7000ml) x100

For total DKA duration between 25 to 31 hours:

(Total volume of fluid in ml/8000ml) x100

And for every 6 hours after, the denominator in the above formula increases by 1000ml.

Glucose and ketones
The total number of glucose and ketone measurements from the time of onset of DKA until resolution were recorded. Guideline adherence for glucose and ketones were defined as: (total number of readings/DKA duration in hours) x100. Results were expressed as a percentage. Hypoglycaemia during DKA was defined as any episode where blood glucose reading was <4 mmol/L during DKA duration.

Potassium
Total number of potassium recordings from the day of DKA diagnosis until resolution were recorded. Hypokalaemia, normokalaemia, and hyperkalaemia were defined as <3.5, 3.5 to 5.5 and >5.5 mmol/L respectively.

Duration of DKA
DKA duration (hours) was calculated as the time difference between DKA diagnosis and DKA resolution (pH>7.3 and bicarbonate >15 mmol/L; and ketones < 0.6 mmol/L). Admission and discharge date and time were recorded to enable calculation of length of hospitalisation (days).

Analysis
Data were analysed using Stata/SE 16.1 for Mac. The Shapiro-Wilk test was used to determine continuous data normality. Continuous data are presented as mean and standard deviation if normally distributed, and as median and interquartile range if data were skewed. Categorical data are presented as frequency and proportions. The χ2 significance test, Wilcoxon rank-sum test and independent t-test were used to analyse the differences between variables, as appropriate. Statistical significance was accepted at 95% confidence level (p<0.05).

Although the data would be more accurate statistically if presented in phases, we took into account many other factors that influence the outcomes (e.g. junior doctor changeover, nursing staff changes or other interventions which may have taken place at the departmental level) and therefore represent the results in yearly increments. More importantly, this type of graph was accepted as a better way to view data by the stakeholders during our discussions over the years and therefore we decided to express the graphs annually.

Ethical considerations
The QIP was approved as part of service improvement by the department of information governance, University Hospitals Birmingham NHS Foundation Trust (CARMS-12074).

Results

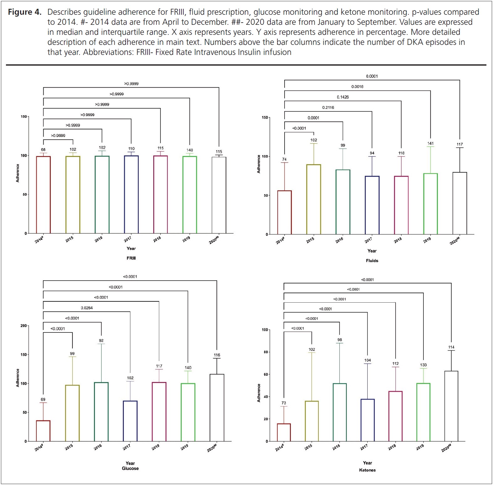
A total of 786 DKA episodes were identified for the study. Of these, 18 were excluded due to issues with access to clinical data or lack of clarity on diabetes classification. Thus, 768 episodes (median age 38.2 years [IQR 23.8-56.8]; male: female 1:1.04) were included in the final analysis; 583 (75.9%) had T1DM and 185 (24.1%) had T2DM. Of these episodes 216, 181 and 371 episodes were recorded in phase 1, 2 and 3, respectively. In comparison to the pre-intervention phase, a statistically significant improvement in adherence for ketone monitoring, glucose monitoring and fluids prescription was seen each year. No statistically significant change was seen in adherence for FRIII prescription in any year, though FRIII adherence was close to 100% at the start. Despite this, dispersion of FRIII prescription, ketone monitoring and glucose monitoring have improved over time with our interventions. There was a slight reduction in adherence for glucose monitoring, ketone monitoring and fluids prescription in 2017; this was the time-period during which we ceased regular feedback to the frontline team. Nonetheless, adherence for FRIII prescription, glucose monitoring and fluids prescription have shown an upward trend from 2017 to the present. In 2020, adherence for glucose monitoring trended towards the opposite axis, which may indicate an unnecessary use of resources (figure 4).

917-Kempegowda-Figure4

917-Kempegowda-Table1

Primary outcome
There was a significant reduction in the duration of DKA in each year of our QIP in comparison to the 2014 pre-intervention year, as shown in figure 5.

917-Kempegowda Figure5

Subgroup analysis by T1DM and T2DM
Further subgroup analysis was undertaken to evaluate differences in DKA management between those with T1DM and T2DM. Table 1 describes the baseline characteristics and outcomes per year, with differences calculated between groups; no statistically significant differences were seen in management between T1DM and T2DM, aside from adherence for ketones in 2018 (T1DM median 47.2 [35.7 – 66.9]; T2DM median 24.4 [13.6 – 51.5]) and adherence for glucose prescription in 2020 (T1DM median 120.2 [99.3 – 145.7]; T2DM median 98.8 [86.4– 124.4]), p=0.0131). However, no statistically significant difference was seen between the groups overall.

Retrospective validation of DEKODE
Retrospective validation of DEKODE conducted between September 2018 to August 2019 identified 150 episodes of DKA, of which 147 were manually confirmed. No significant difference between DEKODE and manual data was identified for DKA duration (16.0 FRIII adherence ± 1.0 hours; 17.5 ± 0.9 hours; p=ns), glucose (98.5% ± 2.6%; 105.6% ± 2.5%; p=ns), ketone measurements (43.3% ± 2.1%; 47.1% ± 2.2%; p=ns) and frequency of hyperkalaemia (7/147; 6/150; p= ns) and hypokalaemia (9/147; 9/147; p=ns) between the two systems. However, discrepancy was noted in the amount of fluids prescribed, where the proportion recorded through automated collection was higher than the manual entry (96.9% ± 3.2%; 84.4% ± 3.1%; p=0.0047).

Discussion

Regular feedback on key clinical parameters resulted in a sustained reduction in DKA duration. With trends in our data in relation to introduction of new guidelines and consideration of existing evidence, the use of guidelines may be key to improving service provision and thus DKA duration. It is vital to note that the reduction in DKA duration is multifactorial with the influence of factors like precipitating cause of DKA, time to diagnosis and capabilities of the frontline team.

A point to note is some parameters appear to be more than 100% adherent. For example, for a person with a DKA duration of 6 hours, the current national recommendation of hourly glucose monitoring would yield 100% adherence for six recordings, 50% adherence for three readings and 200% adherence for 12 readings within six hours of DKA. However, this may not reflect better performance. We should also note that the current national recommendations are based on expert consensus, and we do not have sufficient evidence to comment on the exact number of measurements that would yield the best care for the patients with DKA. In any case, we advise caution for the teams that have more than 100% adherence so they can review their clinical practice and minimise resource wastage where appropriate.

Despite relatively short stays in hospital, costs for managing episodes of DKA in adults are relatively high.9,10 The usual pattern of DKA management at our trust involves admission into the acute medical unit, through the emergency department, where patients are managed until resolution. The patients’ glucose and ketones are monitored hourly and necessary changes in insulin infusion and fluid replacement are made as per the trust’s guidelines which are in line with the national JBDS guidelines. Following resolution, patients are either discharged from the acute medical unit if they have already been reviewed by the diabetes team or are transferred to a general medical ward where they await further review from the diabetes team and a safe discharge. Previously, we calculated the average cost for DKA management in 2015 was £14.10 per hour.7 Therefore, assuming a pragmatic model where healthcare delivery remained the same throughout the study, DKA management from diagnosis to resolution in the acute medical unit cost £16,327 (number of DKA episodes x median DKA duration in hours x hourly rates in AMU) at the beginning of the project (April -September 2014). This reduced to £5537 (number of DKA episodes x median DKA duration in hours x hourly rates in AMU) at the end of the project (October -December 2020). However, the cost has increased in recent times and the difference may be larger than the calculated savings. Also, the length of stay was not significantly reduced. This is likely due to factors that influence discharge after resolution of DKA (for example, patient education, review of home support, dispensing of take-home therapies). While the calculated savings are therefore hypothetical, the quicker resolution helps free up acute medical beds for other ill patients. Freeing up beds for other patients who are acutely unwell could improve adherence to targets in A&E.

917-Kempegowda Key Messages

Conclusion

A significant reduction in DKA duration can be achieved through identification of primary drivers for change and development of secondary driver interventions. Regular audit cycles and feedback are vital to ensure that these improvements in DKA management are sustained. Our reliable automated auditing systems have been able to reduce the time taken from data collection to analysis and have been able to provide real-time performance feedback. It is likely that this QIP can be implemented across multiple hospitals to improve DKA management nationally.

Acknowledgements: DEKODE group: Eka Melson, Lucretia Thomas, Agnes Johnson, Dengyi Zhou, Lucy Wallett, Joht Singh Chandan, Benjamin Coombs, Anne De Bray, Nitish Jawahar, Sunil James, Peter Nightingale, Jaffar Al-Sheikhli, Bhavana Shyamanur, Kasun Theivendran, Anitha Vijayan Melapatte, Andrii Kolenysk, Umesh Salanke, Sandip Ghosh

Conflict of interest: The authors declare no conflicts of interest.

Funding: No specific funding was received for this QIP.

References

  1. Misra S, Oliver NS. Diabetic ketoacidosis in adults. BMJ 2015;351: h5660.
  2. Gibb FW, Teoh WL, Graham J, Lockman KA. Risk of death following admission to a UK hospital with diabetic ketoacidosis. Diabetologia 2016; 59(10):2082–7. https://doi.org/10.1007/s00125-016-4034-0
  3. Bull S V, Douglas IS, Foster M, Albert RK. Mandatory protocol for treating adult patients with diabetic ketoacidosis decreases intensive care unit and hospital lengths of stay: results of a nonrandomized trial. Critical Care Medicine 2007;35(1):41–6. https://doi.org/10.1097/01.ccm.0000249825.18677.D2
  4. Flood K, Nour M, Holt T, Cattell V, Krochak C, Inman M. Implementation and Evaluation of a Diabetic Ketoacidosis Order Set in Pediatric Type 1 Diabetes at a Tertiary Care Hospital: A Quality-Improvement Initiative. Can J Diabetes 2019;43(5):297–303. https://doi.org/10.1016/j.jcjd.2018.12.005
  5. Dhatariya KK, Parsekar K, Skedgel C, Datta V, Hill P, Fordham R. The cost of treating diabetic ketoacidosis in an adolescent population in the UK: a national survey of hospital resource use. Diabetic Medicine 2019; 36(8):982-7. https://doi.org/10.1111/dme.13893
  6. Group JBDS (JBDS) for IC. The management of diabetic ketoacidosis (DKA) in adults. The management of diabetic ketoacidosis (DKA) in adults. 2021
  7. Kempegowda P, Coombs B, Nightingale P, et al. Regular and frequent feedback of specific clinical criteria delivers a sustained improvement in the management of diabetic ketoacidosis. Clinical Medicine (Lond) 2017;17(5):389–94. https://doi.org/10.7861/clinmedicine.17-5-389
  8. Kempegowda P, Chandan JS, Coombs B, et al. Regular performance feedback may be key to maintain good quality DKA management: Results from a five-year study. BMJ Open Diabetes Research and Care 2019;7(1):e000695. https://doi.org/10.1136/bmjdrc-2019-000695
  9. Dhatariya KK, Skedgel C, Fordham R. The cost of treating diabetic ketoacidosis in the UK: a national survey of hospital resource use. Diabetic Medicine 2017;34(10):1361–6. https://doi.org/10.1111/dme.13427
  10. Dhatariya KK, Parsekar K, Skedgel C, Datta V, Hill P, Fordham R. The cost of treating diabetic ketoacidosis in an adolescent population in the UK: a national survey of hospital resource use. Diabetic Medicine 2019; 36(8):982–7. https://doi.org/10.1111/dme.13893